|
|
Keywords: rf, rfic, catv tuner, s parameters, impedance, conversion pad, network analyzer, tutorial, s11
Related Parts
|
|
|
Converting S-Parameters from 50Ω to 75Ω Impedance
|
Abstract: Cable television integrated circuits are usually
designed to interface with 75Ω input and output impedance, while most RF
test equipment is 50Ω impedance. In most cases, minimum loss pads are
used to convert the input and output impedance from 75Ω to 50Ω, and visa
versa, for testing purposes. Although convenient, minimum loss pads
should be avoided when measuring S-parameters. One easy way to perform
such measurement is by treating the input and output impedance of the
cable device as 50Ω, perform the test, and use the equations and Excel
spreadsheet presented in this application note to convert the
50Ω-referenced S-parameters back to 75Ω.
Introduction
Cable television integrated circuits are usually designed to interface
with 75Ω inputs and outputs, while most RF test equipment use 50Ω
impedance. In most cases, minimum-loss pads are used to convert the
input and output impedances from 75Ω to 50Ω, and vice-versa. Although
convenient, minimum-loss pads should be avoided when measuring
S-parameters.
This application note presents an easy way to perform S-parameter
measurements by treating the input and output impedance of the cable
device as 50Ω, performing the test, and making a mathematical
conversion. We provide the equations and a handy Excel spreadsheet to
convert 50Ω-referenced S-parameters back to 75Ω.
S-Parameter to Impedance
The conversion of a 50Ω-referenced S-parameter to 75Ω begins with
equation 1. Both the S-parameter and input impedance are complex
numbers (R + jX), where R represents the real component, and the X
represents the imaginary component. Z
O is usually a real impedance. For the sake of simplicity, input return loss (S
11) will be considered throughout this application note.

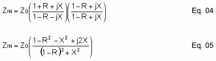
Rearrange Eq. 1 to obtain an input impedance (Z
IN) expression Eq. 2,

Replace the S
11 with R + jX,

Multiply the denominator of Eq. 3 with its complex conjugate to separate the real and imaginary components,

Eq. 6 is the real component of the input impedance,

Eq. 7 is the imaginary component of the input impedance,
Impedance to S-Parameter
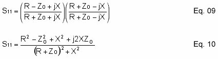
Once the complex input impedance is obtained, Eq. 1 is used once again
to convert the impedance back to a 75Ω-referenced S-parameter.
Eq. 8 is the same expression as Eq. 1, except Z
IN is replaced with R + jX,

Multiply the denominator of Eq. 8 with its complex conjugate to separate the real and imaginary components,

Eq. 11 is the real component of the input return loss (S
11),

Eq. 12 is the imaginary component of the input return loss (S
11),

Example
Excel Spreadsheet
Table 1 shows the Excel spreadsheet that allows fast conversion of 50Ω S-parameter data to 75Ω.

Download Table as an Excel Spreadsheet (XLS, 16kB)
| © Nov 21, 2003, Maxim Integrated Products, Inc.
|
The content on this webpage is protected by copyright laws of the United
States and of foreign countries. For requests to copy this content, contact us.
APP 2866: Nov 21, 2003
TUTORIAL 2866,
AN2866,
AN 2866,
APP2866,
Appnote2866,
Appnote 2866
|